正交调制:数字通信背后的信号
你是否好奇,无线信号如何承载海量数据,点亮我们的数字生活?这一切,始于调制技术。调制是电子通信的基石,信号可以是模拟的(如声音)或数字比特流。如今,大多数通信系统都已数字化,利用离散的幅度或相位来传输数据。可传输的状态越多,单位时间内发送的数据就越多,这正是正交调制在5G及以下通信系统中大放异彩的核心。
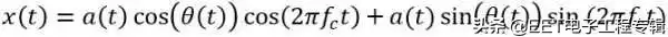
调制的核心思想,是通过调制信号来控制射频载波的一个或多个参数。用数学公式表达,一目了然:
其中:
a(t)是调幅(AM)项;
θ(t)是调相(PM)项;
fc是载波频率。
信号的幅度由a(t)掌控,相位由θ(t)决定。实现幅度调制(AM)时,调制信号对应a(t),而θ(t)设为零。同理,相位调制(PM)则是固定a(t)为常数,让调制信号对应θ(t)。我们暂不深入调频(FM),但会揭示如何用PM巧妙实现它。
矢量表示
矢量表示法通过定义同相(I)和正交(Q)分量来描绘已调信号,极为便捷。
运用三角恒等式:
我们可以将已调信号表示为:
进一步变形,提取出I和Q分量:
其中:

图1以图形方式直观展示,I分量位于水平轴,Q分量位于垂直轴。这种形式对电子工程师而言非常熟悉,它巧妙利用了正弦和余弦函数间90度的相位差。
图1:已调信号幅度和相位的矢量图表示。[改编自参考文献1]
利用以下公式,可将已调信号的幅度和相位与I、Q分量关联:
为强调这些变量随时间变化,并随调制而变,方程中保留了“(t)”。在经典AM中,矢量长度(振幅)变化而相位角不变;PM则相反:振幅恒定,角度随调制而变化。
这看似只是三角问题,但正交调制系统通常由图2的框图实现。
图2:正交调制器使用正弦和余弦函数来调制振荡器的载波。
我们可以将i(t)视为控制同相(余弦)部分,q(t)控制正交(正弦)部分。二者相加,即得所需输出信号。此框图可通过模拟或数字技术(或二者结合)实现。业界已用这两种方法构建实际系统,但数字电路和数字信号处理无疑是主流趋势。
图2描绘了正交调制系统的发送侧。接收端则配有相应的正交检波器,用于从已调波形中提取I/Q信号。
数字调制
正交调制可实现无数调制方案,但在数字调制中价值最大。例如,利用矢量相位的数字调制称为相移键控(PSK)。
图3展示了PSK的两个例子:4PSK用4个不同相位产生四种调制状态(幅度恒定)。图3仅标出矢量尖端位置,这是描绘状态的常用方法,这种图称为星座图。由于有4种状态,每个状态可代表两个二进制值(如图中00、01、10、11)。
图3:简单PSK信号的星座图。[摘自参考文献3]
图3还绘制了8PSK,即用相位调制创建8个状态。这8个状态对应3位逻辑值。系统状态越多,给定时间内传输的信息位越多(但在噪声环境下误码率会升高)。
正交幅度调制(QAM)同时利用幅度和相位增加状态数。图4展示了16QAM(16种状态)。在数字调制中,调制矢量可在这些状态间跳变。为简化,图中未标逻辑值,但16个状态代表4位信息。
图4:16QAM信号的星座图。[摘自参考文献3]
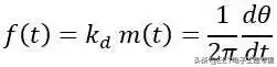
FM又是如何?
可见,通过调制载波幅度和相位来获取已调载波,这种方法极其灵活。尽管FM是1920年代的老技术,至今仍用于广播和移动无线电。我们如何用正交调制实现FM?
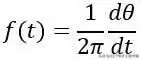
通常,瞬时频率是瞬时相位的导数[参考文献4]。
其中:f(t)是瞬时频率,θ(t)是瞬时相位。
对FM而言,瞬时频率须随调制信号变化。
其中:kd是偏差常数,m(t)是调制信号。
求解所需相位信号,得:
结果表明,通过提供相位调制(即调制信号的积分)可获得FM信号(忽略积分初始条件)。
所需PM信号可由模拟积分器或数字算法获得。正交调制器可用PM产生FM信号。
正交调制和I/Q信号在电子通信中广泛应用。数字调制尤其善用正交系统,但它也能生成任何载波调制,包括传统AM和FM。I/Q数字流因高度灵活,已成为许多通信系统中表示调制信号的事实标准。想亲手尝试调制设计,或深入探索5G背后的技术?立即关注我们,解锁更多通信硬核知识,一起驱动未来连接!
相关问答
数字调制解调具体分为几类_作业帮
数字调制解调主要分为调幅、调频、调相三类,是通信系统的基础。
谁能给我解释数字/模拟调制是什么?及调制方法?
数字/模拟调制是信号转译方法。模拟调制直接将信息转换为模拟信号传输;数字调制则将信息数字化,简化信号以减少识别错误。两者都是通信核心。
脉冲调制数字调制的区别?
脉冲调制与数字调制均属调制技术,区别显著:1.表达信息方式不同——脉冲调制用脉冲序列,数字调制用离散状态;2.应用场景与技术复杂度各异。
调制,解调分别是什么信号转换成什么信号?我是指数字模拟信...
调制是将基带信号(如数字或模拟)转换为适合传输的频带信号;解调则是逆过程,从已调信号恢复原始基带信号。
模拟调制和数字调制的区别?
模拟调制对载波参数连续调制,接收端连续估值;数字调制用载波离散状态表征信息,实现更抗干扰、高效的数据传输。
中波数字调制原理?
中波数字调制在中波频段用数字信号调制,将数据转换为模拟信号进行传输,提升广播质量与效率。
将数字信号调制成模拟信号的方式有哪些?
常见方式有调幅、调频、调相三种。例如,调幅让载波振幅随数字信号变化,用有无载波表示1和0。
调制解调器的调制是数字信号转模似信号还是模拟信号转数字信号?
调制解调器中,调制将数字信号转为模拟信号以便传输;解调将模拟信号转回数字信号,完成数据交互。
龙岩连城数字电视调制方式,起始频点和符号率各是多少?
机顶盒可自动搜索频点。国内有线电视常用64-QAM调制,符号率通常为6.875MSPS或6.952MSPS,具体参数可查看当地设置。
数字到模拟是调制还是解调?
在信宿端,数字信号到模拟信号属于解调过程,是接收数据的关键步骤。