光纤宽带技术深度解析:一篇文章带你从入门到精通!
你是否曾好奇,家里那根细细的光纤如何带来千兆网速?今天,我们就来一探究竟!PART1:光纤接入网的核心概念
一、宽带的本质
宽带,通常指宽带接入,是通信领域中接入网的关键技术。
接入网分为有线和无线两种:
·家庭宽带通过铜缆、网线或光纤连接,属于有线接入。
·手机则依赖基站,属于无线接入。
光纤宽带以光纤为传输介质,也叫光纤接入网,速度远超传统方式。

二、接入网的角色
ITU-T将接入网定义为:业务节点接口与用户网络接口间的传输系统,支撑电信业务。
·AN:接入网
·SNI:业务节点接口
·UNI:用户网络接口

三、宽带的演进历程
国内互联网接入技术经历了多个阶段,从拨号到光纤,速度不断提升。

四、光纤接入网的分类
光纤接入网分为有源光网络和无源光网络两大类,后者因低成本成为主流。
·有源光网络包括基于SDH和PDH的类型;
·无源光网络涵盖窄带和宽带PON。
随着技术进步,无源光网络优势凸显,广泛部署。

五、光纤接入网的架构
光纤接入网采用点到多点架构,通过分光连接大量用户,高效灵活。

六、FTTx应用场景

七、光纤到户的流程

八、家庭光纤组网实战

九、FTTR:全屋千兆新趋势
FTTR将光纤延伸到每个房间,实现无缝覆盖。
·FTTR-H面向家庭,FTTR-B针对企业,支持全场景数字化。
运营商正大力推广,提升用户体验。

PART2:F5G与F5G-A技术前沿
一、F5G是什么?
2020年,ETSI推出F5G,整合10GPON、FTTR等技术,推动固网代际升级。
F5G借鉴5G思路,简化命名,促进市场应用。
二、F5G的演进路径

三、F5.5G:下一代固网
2023年,ETSI定义F5G-A,带宽、连接密度和能效全面提升,迈向光联万物。

四、F5.5G的六大特性
F5G-A在原有基础上新增感知、可靠性等特征,支撑未来应用。

五、F5.5G标准进展

PART3:EPON与GPON技术对比
一、PON技术核心
无源光网络采用点到多点架构,由OLT、ONU和ODN组成,成本低且高效。

·OLT汇聚业务信号,连接核心网;
·POS分光器分发数据;
·ODN无源传输,降低维护成本;
·ONU/ONT为用户侧设备,光猫即常见ONT。
二、GPON演进史
早期PON速率低,FSAN推动标准化,从APON到BPON,最终走向高速GPON。
三、EPON发展历程
IEEE基于以太网制定EPON标准,2004年推出,促进宽带普及。

四、PON优势一览
高速率、远距离、低成本、高可靠,支持多种业务,共享资源效率高。
五、EPON/GPON技术特点
采用波分复用,下行广播、上行时分多址,优化带宽利用。

六、EPON与GPON对比

EPON和GPON平行发展,各有优劣。GPON带宽高但成本高,EPON在部分地区普及。
七、10G PON时代
为满足千兆需求,10G EPON和XG-PON成为主流,支撑智慧家庭与城市。

10G PON技术推动“五千兆”体验,融合宽带、Wi-Fi和5G。
PART4:BRAS关键技术解析
一、BRAS的作用
BRAS是宽带接入服务器,连接骨干网和用户,实现认证、计费等功能。
二、BRAS的核心功能
汇聚用户流量,与控制系统的认证、计费平台交互,管理网络资源。

三、PPPoE协议
用户通过PPPoE建立会话,接入互联网,简单高效。

四、BRAS的扩展应用
结合RADIUS服务器,BRAS支持QoS、组播等增值业务,是网络控制核心。
五、PPPoE业务流程

六、vBRAS:云化革新
vBRAS通过控制面与转发面分离,实现弹性扩容,简化运维。

虚拟化提升灵活性,分布式部署应对大流量场景。
PART5:50G PON未来展望
一、50G PON的演进动力
为应对AR/VR等需求,PON技术向更高速率迈进,单波或多波方案竞争。

二、NG-EPON探索
IEEE推动25G/50G EPON,通过多波长叠加提升速率。

三、NG-PON2的挑战
TWDM-PON方案因成本高未普及,转向单波高速成为共识。
四、50G PON的崛起
2018年ITU-T立项G.HSP,目标2025年商用,平衡性能与成本。

五、50G PON标准体系
2021年ITU-T通过核心标准,支持多代PON共存,推动平滑升级。

六、50G PON的应用场景
从家庭8K视频到企业云办公,50G PON赋能千行百业,助力数字化转型。
七、技术指标详解
下行50Gbps,上行可选12.5G/25G/50G,时延低至微秒级,加密保障安全。
八、关键技术特征
采用TDM架构、LDPC编码和NRZ调制,优化传输效率。

九、部署挑战
需利旧现有ODN网络,兼容老技术,控制成本,实现无缝升级。
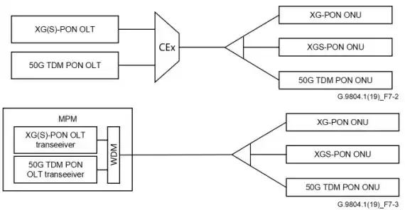
十、兼容共存方案
通过内置或外置合波,支持多代PON共存,保护投资。

十一、波长规划
50G PON选用窄波长避免冲突,提升接收灵敏度,但需注意兼容性。

十二、ODN复用技术
ODN无源网络有距离和分光限制,50G PON通过增强信号克服衰减。
十三、光模块创新
采用SOA、APD等器件提升性能,引入DSP芯片优化传输,推动产业化。
本文基于公开资料整理,旨在技术分享,如有疑问欢迎探讨。现在就检查你的网络配置,体验光纤带来的极速未来吧!
相关问答
宽带接入方式?
家庭和中小企业常用光纤或LAN接入,高速稳定。
在通信技术中,什么是带宽,什么是宽带?
带宽指网络速度,宽带是高速接入技术,支撑互联网应用。
什么是宽带和窄带???
窄带速率低,宽带代表未来,满足高清、实时需求。
简单说下宽带技术哪家强?是移动、联通还是电信?
电信在宽带领域经验丰富,网络覆盖广,稳定性高。
光纤通信技术是什么?
利用光纤传输信号,实现高速信息传递的通信方式。
光纤通信相关的前沿技术?
提升物理带宽和网络调度能力,如50G PON和F5G-A。
区域宽带通信介绍?
基于无线网络,支持多用户系统,适用于特定区域。
什么是超宽带技术?
UWB在宽频谱传输数据,适用于精确定位和高速通信。
光纤技术包括光纤通信技术吗?
是的,光纤通信是光纤技术的核心应用之一。
什么技术为家庭提供宽带?
常用ADSL、LAN、FTTH和PON,光纤到户是趋势。