RFID标准揭秘:谁在掌控全球物联的“游戏规则”?

mysmile 11 0
RFID标准揭秘:谁在掌控全球物联的“游戏规则”?

「RFID课堂」第3期:深入标准体系,破解兼容性核心密码

你是否想过,RFID技术如何跨越国界,实现全球无缝连接?

一套统一的标准,正是打破兼容壁垒、消除数据孤岛的关键。

它推动技术普及,加速产业贸易自由化,

让RFID在全球布局中真正“畅通无阻”。

RFID标准揭秘:谁在掌控全球物联的“游戏规则”?

▲ RFID标准体系示意图(图源自网络)

建立RFID标准体系,已成为全球产业标准化角逐的焦点。

RFID标准化的核心,在于通过统一标准解决编码、通信、接口与数据共享等难题,最大化推动技术普及与应用落地。无论是物流追踪、零售盘点,还是智能制造,标准都是实现高效协同的基石。

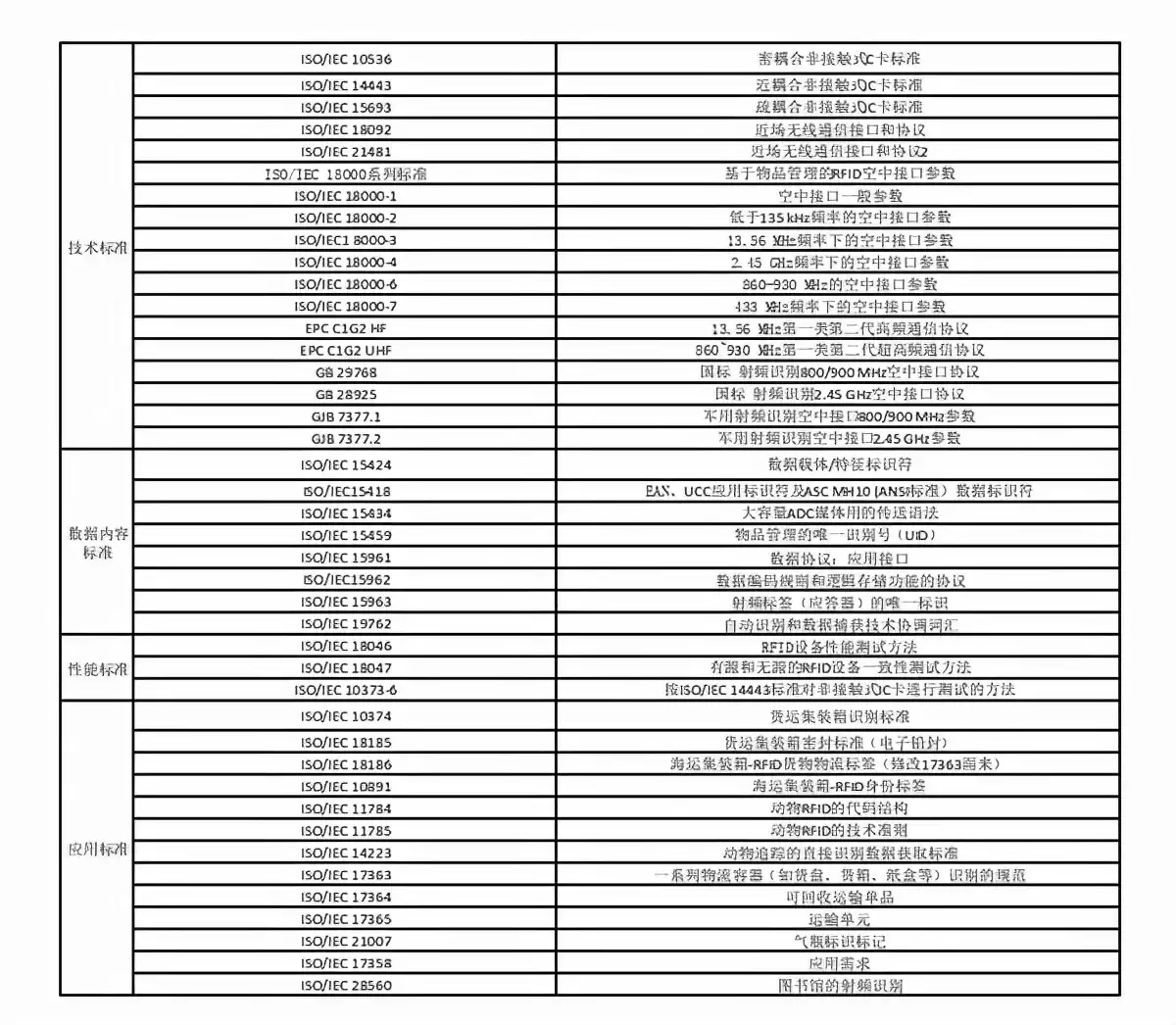
RFID标准体系涵盖以下关键领域:

RFID丨技术标准

定义空中接口及参数,涵盖术语、物理层、通信协议与设备规范。例如,在仓储物流中,统一的技术标准确保不同频段读写器都能快速识别标签,提升作业效率。

RFID丨数据内容标准

规范数据协议、编码规则及语法,包括格式、安全与对象结构。这保障了从生产到消费全链条的数据可读性与一致性,避免信息混乱。

RFID丨性能标准

涉及设备测试与一致性验证,覆盖质量、工艺及流程。在恶劣工业环境中,高性能标准能确保标签耐久性与读取精准度。

RFID丨应用标准

针对特定场景制定架构规则,如医疗资产管理或零售防盗。标准让RFID在多元场景中灵活适配,发挥最大效用。

编码标准和通信协议是竞争最激烈的部分,两者构成了RFID标准的核心支柱。

目前,国际RFID标准多由ISO/IEC联合发布,公信力与权威性全球领先。

RFID标准揭秘:谁在掌控全球物联的“游戏规则”?

AIM

全球六大标准组织——ISO/IEC、EPCglobal、UID、AIM、IP-X、NFC Forum,正主导RFID标准演进。它们的较量,直接影响技术普及速度与产业格局。

当前,ISO/IEC 18000、EPCglobal、UID三大空中接口协议仍在完善,虽互不兼容,但技术差距不大。ISO/IEC标准已大量融入EPC与UID体系,展现强大包容性。

ISO / IEC

ISO(国际标准化组织)与IEC(国际电工委员会)是非营利性权威机构,其联合标准覆盖RFID多频段,为全球互操作提供基准。从工业自动化到智慧城市,ISO/IEC标准都是可靠背书。

EPCglobal

由国际物品编码协会GS1发起,EPCglobal专注供应链可视化。其Gen2标准已成为ISO/IEC 18000-6C核心,支持860-960MHz全球频段,安全性与管理性能突出,助力零售、物流实现实时追踪。

UID

日本泛在识别中心推动的UID体系,采用uCODE编码,兼容本土与国际标准。尽管在2.45GHz与13.56MHz频段有应用,但全球影响力较弱,多集中于特定区域场景。

AIM

全球自动识别组织AIM曾引领条码革命,现涉足RFID标准制定。它推动第三方认证,但在RFID领域声量不及EPCglobal,常见于专业数据采集场景。

IP-X

作为中性主权国标准组织,IP-X在南非等地推广,为发展中国家提供定制化方案,凸显标准的地域多样性策略。

NFC Forum

由三星、索尼等巨头组建的NFC Forum,定义近场通信架构,确保设备互操作性。从移动支付到智能门禁,其标准正加速消费级应用普及。

标准之争即是未来之争。掌握RFID标准体系,才能在全球物联浪潮中抢占先机。你是否在工作中遇到过标准兼容难题?欢迎分享你的经历,一起探讨解决方案!

相关问答

什么是rfid电子标签技术?-ZOL问答

服装新零售中,RFID技术为何广泛应用?传统条码需人工扫描、效率低且易损坏,而RFID标签能批量识别,提升库存与销售效率,适配行业快周转需求。

超高频RFID档案标签参数解析-ZOL问答

超高频RFID档案标签关键看频率、读取距离与存储容量。典型频率860-960MHz,读取距离数米至十几米,具体性能依赖芯片与天线设计,满足档案智能化管理。

zigee与RFID有什么区别?

[最佳回答]ZigBee是低功耗无线网络协议,适用于传感网;RFID侧重自动识别与数据捕获。两者在物联网中互补:RFID用于标识,ZigBee用于通信组网。

什么是物联网管理?-ZOL问答

物联网管理指通过RFID等传感设备连接物品与互联网,实现智能识别与管控。它优化流程,提升供应链、资产监控等场景的透明度与效率。

手持机(PDA)的RFID13.56MHZ,,兼容14443/15693协议是个什么...

这意味着手持机支持13.56MHz高频RFID,可读写ISO/IEC 14443(如公交卡)与15693协议标签,适用于门禁、支付等近场识别场景。

针对RFID给现代物流业带来的影响,你认为现代..._物流师_帮考网

RFID技术通过实时追踪与自动识别,大幅提升物流可视性与效率。它简化仓储管理、加速配送,并降低人工错误,是现代物流智能化转型的核心驱动力。

NFC手机功可不可以读取公交卡的原因-ZOL问答

NFC手机基于RFID技术,兼容公交卡的近场通信协议。两者频率与协议匹配,使手机能非接触读取卡内数据,实现便捷支付与信息交互。

请问公司固定资产盘点,怎么出盘点通知?,盘点通知怎么写?前...

通知应明确盘点范围、时间与流程。建议采用RFID等自动识别技术,粘贴电子标签,实时更新资产数据,提升盘点精度与效率。

常用来自的RFID标签芯片有哪几种-ZOL问答

主流RFID芯片包括低频、高频、超高频等类型。低频标签穿透性强但距离短,高频适用于支付与门禁,超高频则满足远距离批量识别,如零售与物流。

安全使用rfid智能密集柜,有哪些需要注意的问题?急需赐教_...

[回答]RFID智能密集柜需注意防电磁干扰、定期维护读写器,并确保标签粘贴牢固。其钢制结构耐用环保,结合RFID可实现档案快速定位与安全管控。